發表文章

目前顯示的是 12月, 2020的文章

陳韋翔17~18週期末考

陳韋翔2021年1月期末考 現值 利率 期數 金流 終值

第16週影片

投入、陶醉與個性,她壓倒其他所有的舞者。 由 Robert Liu 發佈於  2020年12月18日 星期五

第16週word+excel貼上來

  利率1.2%(月利率0.001),房貸貸款,每月還2萬,貸款多少? 現值 $4,265,556 `= 金流 / 利率 *(1-(1+ 利率 )^- 期數 ) 利率 0.001 期數 240 金流 20000 陳韋翔自己在HTML打 利率1.2%(月利率0.001),房屋貸款,每月還2萬,貸款多少? 現值 $4,265,556 =金流/利率*(1-(1+利率)^-期數) 利率 0.001 期數 240 金流 20000

第15週HTML+CSS+JavaScript+Word轉pdf

圖片
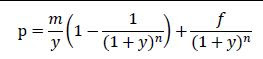
利率y(rate) 期數n(nper) 金流m(pmt) 終值f(fv) 參考劉任昌 金融市場講義 陳韋翔學習HTML+CSS+JavaScript程式碼 <style> h1{border: 30px outset red;     background-color: green;     color: white;   text-align: center;} </style> <script> function computePV(){   var r = document.getElementById("rate").value;   var n = document.getElementById("nper").value;   var m = document.getElementById("pmt").value;   var f = document.getElementById("fv").value;   pvif =r;   pvif++;   pvif =1/pvif**n;   var pv = (1-pvif)*m/r + f * pvif;   document.getElementById("pv").innerHTML = pv; } </script> <body> <table border="1"> <tr><td>利率y(rate)</td><td>期數n(nper)</td><td>金流m(pmt)</td><td>終值f(fv)</td></tr>    <td><input id="rate" type="number" /></td>    <td><input id="nper" type="number" />...

第14週陳韋翔

圖片
                      陳韋翔VBA程式碼 Const period As Integer = 4 Const maxerror As Double = 0.0000001 Dim payment(period) As Double '廣域變數 4 維度的陣列 Private Sub CommandButton1_Click()   Dim a, b, c, f, gap As Double   Dim loopNumber As Integer   a = 0   b = 1   gap = 10   loopNumber = 10   payment(0) = TextBox1.Value   payment(1) = TextBox2.Value   payment(2) = TextBox3.Value   payment(3) = TextBox4.Value   f = npv(a)   If f = 0 Then      Label9.Caption = 0   ElseIf f < 0 Then      Label9.Caption = "內部報酬率小於 0."   Else      Do While gap > mexerror And Abs(f) > maxerror And loopNumber < 300        loopNumber = loopNumber + 1        c = (a + b) / 2        f = npv(c)        If Abs(f) > maxerror And gap > maxerror Then     ...

第十三週陳韋翔

圖片
Const period As Integer = 4 Const maxerror As Double = 0.0000001 Dim payment(period) As Double '廣域變數 4 維度的陣列 Private Sub CommandButton1_Click() Dim a, b, c, f, gap As Double Dim loopNumber As Integer a = 0 b = 1 gap = 10 loopNumber = 10 payment(0) = TextBox1.Value payment(1) = TextBox2.Value payment(2) = TextBox3.Value payment(3) = TextBox4.Value f = npv(a) If f = 0 Then Label9.Caption = 0 ElseIf f < 0 Then Label9.Caption = "內部報酬率小於 0." Else Do While gap > mexerror And Abs(f) > maxerror And loopNumber < 300 loopNumber = loopNumber + 1 c = (a + b) / 2 f = npv(c) If Abs(f) > maxerror And gap > maxerror Then If f > 0 Then a = c Else b = c gap = b - a End If Else Label9.Caption = c End If Loop End If Label10.Caption = f Label11.Caption = loopNumber '以下是將結果輸出到 WORD 文件 Selection....